34 预付年金:终值
一、预付年金
预付年金是指在每期期初支付的年金,又称为即付年金或期初年金。发生在每期期初。
二、预付年金终值
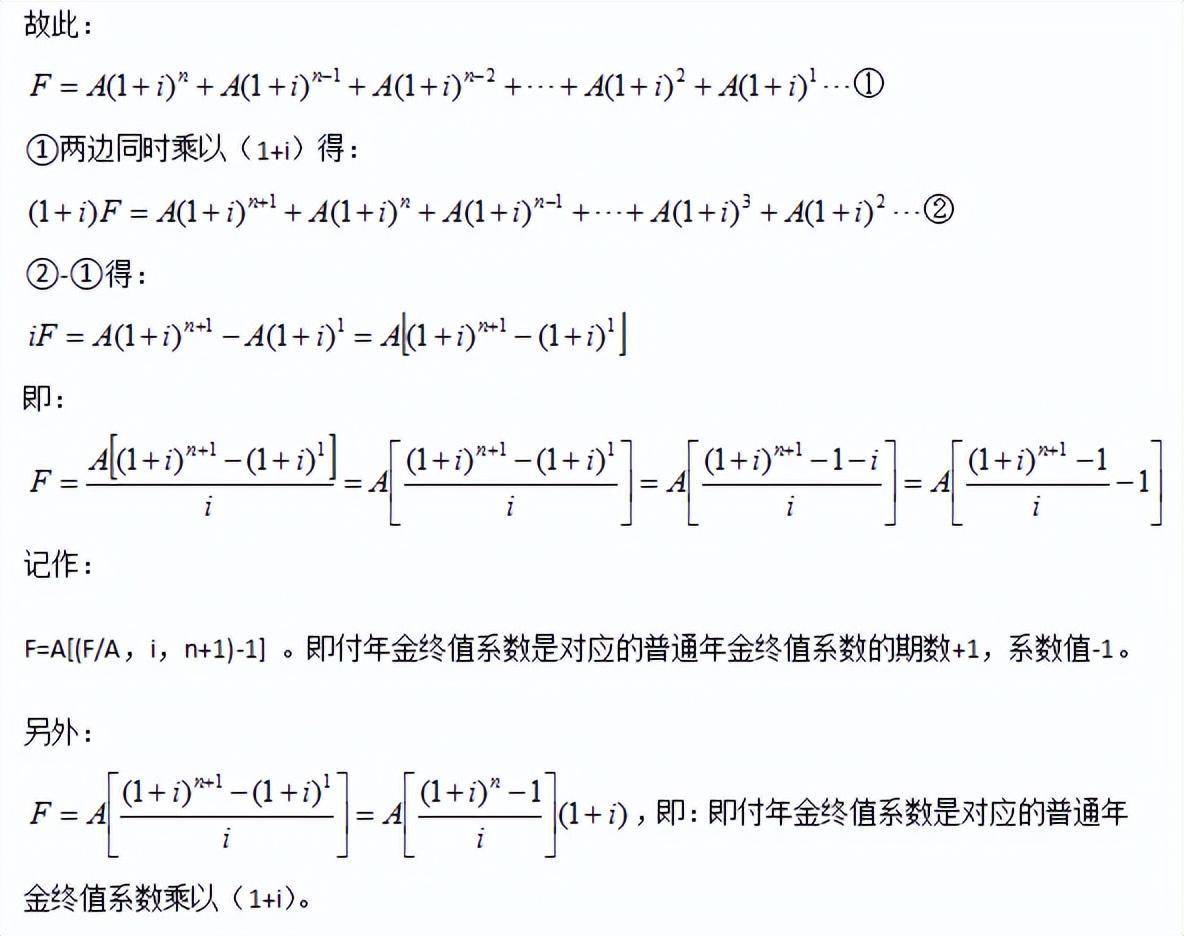
预付年金支付形式如下图所示。其终值就是将每期期初发生的现金流A,按照复利的原理计算其终值(本利和,本+息)后再求和。

根据上图:


三、预付年金终值计算程序
# =============================================================================
# # -*- coding: utf-8 -*-
# """
# This is python program
# Created on Tue Sep 21 10:02:42 2022
# @author: zgr
# """
# A代表年金。如A=100。广播为每期现金流,可以每期不一样,如可以设为cashflow=[232,190,380,120,,,]
# rate贴现率/利率。如rate=0.1。也可以每期不一样,如相应的,rate=[8%,6%,12%,10%,,,]
# n为期数
# when=1表示现金流发生在期末,即普通年金。程序设定的默认值为1。
# when=0表示现金流发生在期初,即预付年金。
# 该段程序不仅仅是用来计算年金现值,如果把A设置为对应每期的现金流cashlow,
# rate设置为对应期间的贴现率/利率,如:cashflow=[120,300,234,,,,]
# rate = [0.1,0.12,0.08,,,,,]则该段程序就计算出对应的现值。
# =============================================================================
import numpy as np
def fv_A(cashflow,rate,n,when=1):
cashflow = np.array(cashflow)
rate = np.array(rate)
if when == 1:
n = sorted(np.arange(0,n),reverse=True)
else:
n = sorted(np.arange(1,n+1),reverse=True)
fv_A = cashflow*(1+rate)**n
return round(fv_A.sum(),2)
# 测试数据
cashflow = 10000
rate = 0.1
n = 3
when = 0
when = 1
# 年金
fv_A(cashflow,rate,n,when)
# 普通现金流,每期不一样,折现率每期也不一样
cashflow = [100,200,300]
rate = [0.1,0.2,0.3]
# 现金流有空缺
cashflow = [100,0,300]

仅供参考。
标签:
168
殷叶子,一位本色出演校花的幸运女孩 当年,一部《一起来看流星雨》瞬间俘获无数迷妹的芳心,不仅如此,剧中的男主角更是帅出了天际,可以说是偶像剧中的佼佼者。 当“四大王...
177
这回重建成功了?火箭5连胜升至西部第四,期间总计净胜89分! 在以104-101力克鹈鹕之后, 火箭豪取一波5连胜, 由于勇士以110-118不敌骑士,战绩来到6胜4负,火箭也以5胜3负的战绩反超...
76
身份认同与社会责任:从“司马南事件”看中国公民的多重身份 今日头条:近日,“司马南事件”引发了广泛关注和讨论。在这一事件中,一名自称为中国公民的个体在社交媒体上发表...
170
记得网球第一美女晏紫吗?获17个WTA冠军,如今在体育局收入可观 近日,不少优秀的网球运动员正在各项赛事中展开激烈角逐,而大部分球星则选择备战法网比赛,而在最近有很多球迷...
185
你只知道B站,还有A,C,D,E,F,G站你知道吗 B站大家应该都知道,但你知道还有A,C,D,E,F,G,H,J,M站吗?他们分别是什么呢? A站 A站就是AcFun,中国第一家弹幕视频网站,而且现在 B 站的创始人也...
191
一图读懂公务接待餐桌座次 餐桌作为政务活动的延伸,从座次排序、就座,到用餐,都有礼仪规范可循。当今中国的公务宴请大多采用圆桌,有两大模式:单主人制宴请和双主人制宴请...
207
看完就想恋爱的4部青春校园剧,每一部都很“酥甜”,错过可惜了 校园,是我们每一个人心中最美好的回忆,尤其是高中和大学,这个时候人们的感情最为清纯。今天就给你们讲讲看...
185
如何快速成为一个有钱人 在这个快节奏的世界里,很多人都梦想着快速成为有钱人,享受财富带来的自由和安全感。然而,累积财富并没有捷径,它需要智慧、计划和一系列行为规范。...
142
汽车电瓶亏电后多久才能恢复? 汽车电瓶是用来提供启动机所需电流然后启动发动机的电力来源,同时也提供发动机未启动情况下,汽车电气设备所需电源。 家用车一般使用铅酸蓄电...
164
减负是为了更好地前行 张志勇 近日,中共中央办公厅印发《关于解决形式主义突出问题为基层减负的通知》,并将2019年定为“基层减负年”,体现了中央为基层减负的决心,扣响了为...
121
河北省易县,1940年的老照片,带你走进八十年前的千年古县 易县,位于河北保定的西北部,596年(隋开皇十六年)始置易县,是千年古县之一。图为1940年易县的街道。 历史上的易县,...
189
成都值得一去的三个古镇 一、新场古镇 古镇位于成都大邑县,被誉为四川省内规模最大的、保存最完整的一个古镇,也是茶马古道上的历史文化名镇和南方丝绸之路的重要文化节点。...
118
强推3本经典的古言虐文,太虐心了 各位书友好,今天给大家继续推荐3本经典收藏的古早言情小说(都已改编成电视剧),看过书或剧版的小伙伴可以举个爪吗~有被虐哭吗?欢迎您的...
88
春日宴,绿酒一杯歌一遍,再拜陈三愿 近几年,无论是电视还是电影都非常流行IP剧,我们常常或惊喜或失落地发现自己学生时代追过的小说被翻拍或即将被翻拍。 这不,《春日宴》也...
105
帝林在《紫川》中或许是个悲剧人物 今天迎来了新一集《紫川》的更新,本集中斯特林作为中央军首领,完成了在远东平叛的任务,并率军来到了得亚行省,并见证了得亚行省总督古蓝...
201
福州:永辉500元购物卡免费领?回应来了 台海网4月25日讯 据福州晚报报道 永辉500元购物卡转发抽奖免费领?假的!别再传了! 近些天来,一些人在朋友圈转发链接,页面上声称,只要...
107
白露是什么意思?白露为霜上一句是什么出自哪首诗 [闽南网] 白露是什么意思 白露是农历二十四节气之一,当太阳到达黄经一百六十五度时交白露节气。白露是秋天的第三个节气,表...
170
女孩与父亲发生争执负气跳江 还记得上海17岁男孩跳桥事件吗? 俗话说冲动是魔鬼,人在情绪激动的时候,很容易做出一些过激的言行举止,从而导致严重的后果。 近日,江西一名女...
143
从青岛坐动车游杭州可以“躺”着去了 12月30日零时起,铁路实施新的列车运行图,济南局集团公司优化新线和热门方向列车开行方案,临沂首开北京、东北方向动车组列车,青岛至杭...
134
深圳至怀化,G6068次列车耗时最长,走长沙方向 本次列车16:09从深圳北出发,21:59到达怀化南,中间一共停靠11个站。全程957公里,运行时长为6小时50分钟。列车由广州局长沙客运段担当...