《陈情令》经典歌曲简谱洞箫谱
1.陈情令片头曲

2.无羁无羁(Cover:肖战)痴笑 - 无羁 - 陈情令主题曲




3.清心音·乱魄抄
乱魄抄(魔道祖师-金光瑶-东瀛邪曲)仙麦 - 异曲集





4.意难平

5.曲尽陈情

6.不忘

7.不由

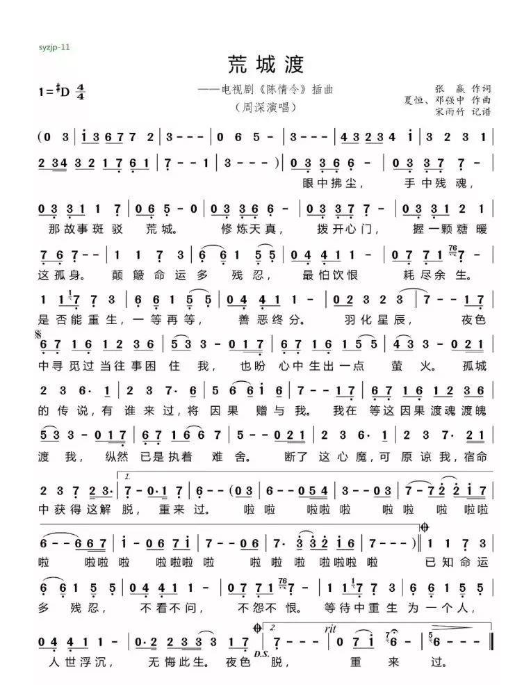
8.荒城渡

9.人生若只如初见

10.孤城

11.洗华


12.不悔

13.清河诀

14.赤子

15.最是少年不可欺

16.莲花坞

17.《陈情令》背景音乐

18.忘羡林海-忘羡余天易 - 忘羡

19.醉梦



20.疏林如有诉

注:曲谱来源网络收集,只是收集自己喜欢的作备忘录发的,如有侵权,请联系本人删除!
标签:
132
王宝强现身电影节,马蓉好友呛声:打人还能走红毯呢! 王宝强和马蓉近日因事闹起了纠纷,后果也是比较严重的,直接导致马蓉受伤住院,王宝强妈妈被“吓晕住院”,马蓉表示自己...
100
长月烬明大结局是好是坏(电视剧长月无烬结局剧情介绍) 长月烬明中澹台烬和黎苏苏历经三世苦难,大结局终于解除误会,有一个圆满的结局。 剧...
100
好看的经典韩国高分电影有哪些?(十部韩国高分电影推荐) 01《釜山行》:讲述单亲爸爸石宇与女儿秀安乘坐KTX高速列车往釜山,列车上由一位少女身上带来的丧尸病毒开始肆虐且不断...
60
十部“ 0 差评”的美剧,《权利的游戏》垫底,第 1 被禁播 10.《权利的游戏》 史诗级美剧,制作精良,开创了魔幻题材影视剧的又一条生路。勾心斗角、尔虞我诈又性格鲜明的人物角...
79
十大好看的古装电视剧排名 花千骨和琅琊榜上榜 导读:文章由网友(兔牙萝莉),通过网络收集整理了最新关于“十大好看的古装电视剧排名 花千骨和琅琊榜上榜”的相关信息,让我们...
98
欢乐颂有第二部吗(欢乐颂第二部免费完整版) 往往当一部剧大火特火的时候,导演和制作团队就会考虑拍摄第二部。其实想拍好一部剧集的第二部说容易也容易,因为只要制作团队不发...
82
星际迷航6电影完整版(5月15日电影大搜集) 「围炉夜话,把酒话桑麻,电影世界从未如此的美好」 《星际迷航》-上映于2009.05.15-科幻 2230年出生于瓦肯星的男孩史波克,因为母亲阿曼...
64
《精灵宝可梦》图鉴638:拥有钢铁的心灵与躯体-勾帕路翁 小伙伴们好呀,本篇我们要介绍的就是五代的第一批二级神(没错,五代有两批二级神),也就是存在感略微薄弱的三羊啦,...
105
《风云》帝释天能做到瞬移,而他却能做到身外化身,不是连城志 《风云》帝释天能做到瞬移,而他却能做到身外化身,不是连城志 上一期和大家介绍了帝释天的七无绝境这门绝世神...
176
视觉效果拉满的 6 部太空电影,每部都是经典之作 1、《火星救援》 一部非常商业的科幻片,经典的美式个人英雄主义电影。影片在科幻之余还有这一些滑稽与幽默,毕竟谁不会喜欢火...
122
武松断臂鲁智深坐化(水浒传原著武松断臂了吗) 这个问题还是挺有意思的,鲁智深和武松都是以神力著称的大力士。鲁智深能够倒拔垂杨柳,武松扔四五百斤重的石墩子就跟扔气球似的...
106
《复仇者联盟4》漫威宇宙最强英雄 “惊奇队长”能力大爆料 《复仇者联盟3》灭霸的一记响指,詹姆斯·布坎南·巴恩斯(James Buchanan Barnes)、黑豹(特查拉 TChalla)、小蜘蛛 (彼得·帕...
99
电视剧雪中悍刀行徐骁六义子结局如何,陈芝豹失踪而禄球儿战死 雪中悍刀行:徐骁六大义子结局公开,陈芝豹失踪,禄球儿战死! 徐骁六大义子是北凉军的核心所在,也是北凉王的...
115
《权力的游戏》异鬼的实力究竟有多强大 《权力的游戏》第6集囧跟异鬼的首次交战,我整个人都血脉沸腾了。今天聊一聊异鬼究竟有多强大。 因为需要把一个异鬼送给瑟曦看,试图暂...
58
狐妖小红娘是国漫吗 每次一提起国漫崛起总会引起撕逼,甚至会有不少人嘲讽国漫又在做仰卧起坐了。这种人我觉得很符合鲁迅先生说过的一句话,吃太饱,鲁迅肯定说过吃太饱这三个...
150
《钢铁侠3》在中国早已“被禁”,这是第一部讨好中国的漫威电影 今年,是“漫威电影宇宙”系列诞生的第十三年,也是该系列在中国内地遭遇“滑铁卢”的第一年。 在这一年,“漫...
118
李荣浩歌曲 李荣浩的歌曲有《李白》、《不将就》、《麻雀》、《老街》、《戒烟》等。李荣浩(Ronghao Li),1985年7月11日出生于安徽省蚌埠市,是中国大陆流行音乐家、音乐家和演员...
190
《陈情令》泰国宣传海报官宣,泰装忘羡依旧圈粉,神仙眷侣? 暑期档热播的《陈情令》于8月12日就提前公布了大结局,本来可以让观众们慢慢感受剧情,体验追剧过程中一点一滴的乐...
189
动漫中的童年女神之《华丽的挑战》最上恭子 最上恭子是在漫画《华丽的挑战》中登场的虚拟人物,漫画女主角,是个不打扮,但憧憬化妆。跟从追逐梦想的青梅竹马不破尚来到东京,...
155
《出海那些事儿》第四集:短剧出海新机遇与挑战解析 在全球互联网行业快速发展的浪潮中,短剧作为一种新兴的文化传播形式,正逐渐引起各国市场的关注与热议。随着2025年的结束...